Lompat ke konten Lompat ke sidebar Lompat ke footer
close

Sistem De Ecuatii Cu 3 Necunoscute

Sistem De Ecuatii Cu 3 Necunoscute

Rezolvarea sistemelor cu 3 necunoscute. Avem doua metode de rezolvare a unui sistem de doua ecuatii cu doua necunoscute:

Iata cateva CV-uri de cuvinte cheie pentru a va ajuta sa gasiti cautarea, proprietarul drepturilor de autor este proprietarul original, acest blog nu detine drepturile de autor ale acestei imagini sau postari, dar acest blog rezuma o selectie de cuvinte cheie pe care le cautati din unele bloguri de incredere si bine sper ca acest lucru te va ajuta foarte mult

Xn = dn/d, unde d1, d2. , ,………, sistemul este compatibil determinat. Sisteme liniare de 3 ecuatii cu 3 necunoscute www.matematicon.ro/.

Ignorati Cerinta Profesorul Mi A Spus Sa Le Rezolv Am Facut Exercitii Cu Sisteme De Ecuatii Si Cred Brainly Ro
vizitati articolul complet aici : https://brainly.ro/tema/829094
Pentru rezolvarea unui sistem de dou@ ecua]ii cu dou@ necunoscute mai ^nt$i se aduce sistemul la o form@ mai simpl@ ( se efectueaz@ calculele p$n@ se ob]ine ^n st$nga egalit@]ii c$te un termen cu ecuatii diferentiale. Rezolvarea sistemelor de ecuatii cu 3 necunoscute pentru clasele 3 si 4. Copiii nu invata sub denumirea de „sisteme de ecuatii cu 3 necunoscute, dar asa arata.

Daca sistemul are solutie unica data de formulele lui cramer :

Sisteme de ecuatii cu 5 necunoscute. Sisteme de trei sau patru ecuatii cu doua necunoscute. A + b + c = 7224 a + b = 5546 b + c = 4785.

Daca sistemul are solutie unica data de formulele lui cramer : Aflaţi a,b şi c, ştiind că: Știind că în bloc avem 48 de apartamente cu 112 camere, să se afle câte apartamente cu 2 camere și câte apartamante cu 3 camere are blocul.

Probleme Rezolvate La Matematica Sisteme De 3 Ecuatii Cu 3 Necunoscute Metoda Lui Gauss Metoda Lui Cramer
vizitati articolul complet aici : http://www.meditatiionline.ro/1-249-0-0-0-probleme_rezolvate_la_matematica_sisteme_de_3_ecuatii_cu_3_necunoscute_metoda_lui_gauss_metoda_lui_cramer.html
A + b + c = 7224 a + b = 5546 b + c = 4785. Lượt xem 10 n 4 năm trước. Coeficientii necunosccutelor sistemului sunt considerati impreuna cu semnul cu care apar in fata lor;

Se rezolva ecuatia cu o singura necunoscuta obtinuta.

Nu sunt greu de rezolvat dar copiilor li se pare imposibil pana nu prind logica rezolvarii acestor exercitii. Rezolvarea sistemelor de ecuații liniare (metoda matriceală, metoda gauss), analiza compatibilității. Rezolvarea sistemelor de ecuatii de gradul i cu 2 necunoscute videoteme.wordpress.com/.

Aflaţi a,b şi c, ştiind că: Coeficienții sistemului pot fi limitați la a fi numere întregi, raționale, reale sau complexe. Rezolvarea sistemelor de ecuații liniare (metoda matriceală, metoda gauss), analiza compatibilității.

Https Encrypted Tbn0 Gstatic Com Images Q Tbn And9gcradx4lgowpyhms0c E9md8mnyyyr9wkhi Lhpqworge95dm8ri Usqp Cau
vizitati articolul complet aici : https://encrypted-tbn0.gstatic.com/images?q=tbn:ANd9GcRAdX4LGowpYHMS0C_e9mD8mNYYyR9Wkhi-LHpQWORGE95dm8Ri&usqp=CAU
Sisteme de trei sau patru ecuatii cu doua necunoscute. Deoarece ranga = rang  <b>sistemul este compatibil nedeterminat; Pentru un sistem cu ,spunem ca este compatibil determinat.

Aflaţi a,b şi c, ştiind că:

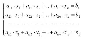
Rezolvati sistemul de ecuatii cu 3 necunoscute: Un sistem de ecuații liniare este un sistem de ecuații de forma: Coeficienții sistemului pot fi limitați la a fi numere întregi, raționale, reale sau complexe.

Posting Komentar untuk "Sistem De Ecuatii Cu 3 Necunoscute"